
actual value pointer to the green set
point pointer. Close the Tnrestriction
again.
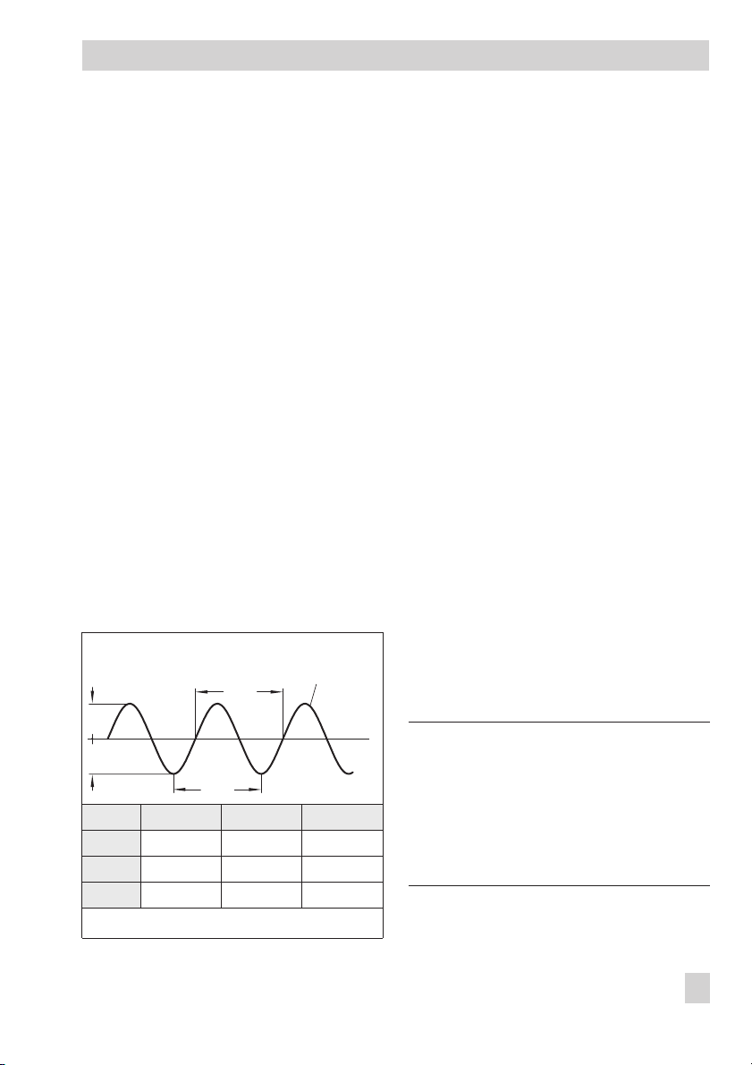
6. Starting from a low value, increase the
proportional-action coefficient KPuntil
the actual value pointer displays an har-
monic oscillation pattern (uniform oscil-
lation amplitudes as shown in Fig. 5) of
the controlled variable.
If oscillations do not arise with a large
KPsetting, turn the rotary knob to
change the set point slightly and then re-
turn it to its former setting. It may be
necessary to increase the gain (KP)
slightly until an harmonic oscillation pat-
tern arises.
7. Write down the adjusted value of the KP
scale you have just adjusted as the criti-
cal proportional-action coefficient KPkrit.
Use a stopwatch to time the oscillation
time for one entire oscillation as Tkrit (PI
and PID controller only).
Multiply both values with the values in
the table (Fig. 5) and set as the favor-
able settings for KP, Tn, and Tvat the
controller.
Should oscillations still occur despite these
settings, slightly reduce KPand increase Tn.
Repeat these steps, if necessary, until the
control loop shows a satisfactory perfor-
mance. Leave enough time in between set-
ting to allow the controller to stabilize.
3.1.1 Setting the operating point in
P and PD controllers
(Type 3433 Controller Module only)
After setting the proportion-action coefficient
KPas described previously, set the operating
point for P and PD controllers instead of the
reset time Tn.
4Read off the controlled variable yA of the
controller at the display (1.5) when the
plant is in a steady-state condition and
set this value directly at the operating
point adjuster (12, Fig. 2). (Setting 0.2 to
1 bar = 0 to 100 %).
4Recorrect slightly until the system devia-
tion is zero. In case the signal pressure
display deviates, average the value.
Note!
On changing set point or reference variable,
the operating point must be set again as de-
scribed above.
If the reference variable is changed more of-
ten, set the operating point to 0.6 bar =
50 % (average value).
EB 7030 EN 9
Commissioning
Fig. 5 · Harmonic oscillation, settings
Cntr. KPTnTv
P 0.50 · KP,krit
PI 0.45 · KP,krit 0.85 · Tkrit
PID 0.59 · KP,krit 0.50 · Tkrit 0.12 · Tkrit
Controlled variable
(actual value)
Tkrit
Tkrit
+