
iv
FilterQuick™
Controller Manual
TABLE OF CONTENTS
CHAPTER 1: FilterQuick™Controller Instructions
1.1 Using the FilterQuick ..............................................................................................................1-1
1.2 Menu Trees ..............................................................................................................................1-2
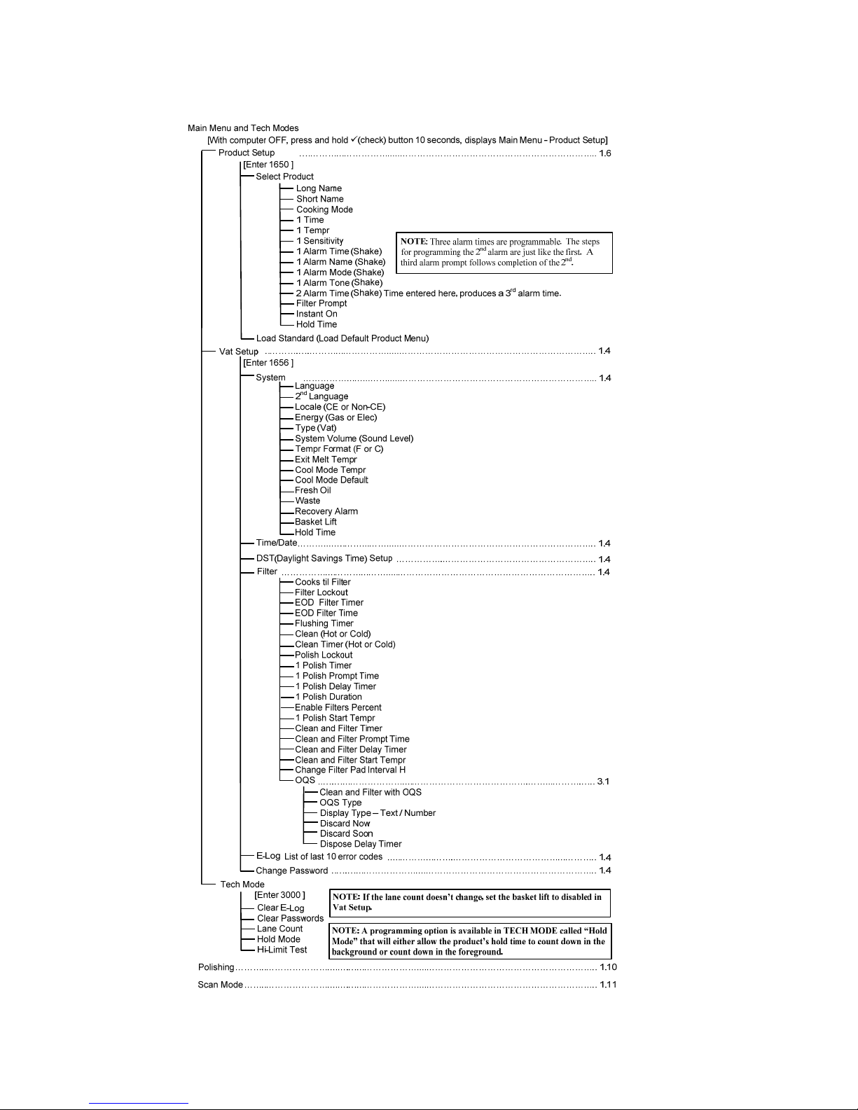
1.2.1 FilterQuick™ Controller Menu Setup Tree.................................................................1-2
1.2.2 FilterQuick™ Filter and Info Mode Menu Tree ..........................................................1-3
1.3 Setup Main Menu.....................................................................................................................1-4
1.4 Vat Setup..................................................................................................................................1-4
1.5 Info Mode.................................................................................................................................1-7
1.6 Product Setup (Single Setpoint).............................................................................................1-10
1.7 Multiple Setpoint Cooking Overview....................................................................................1-11
1.8 Product Setup (Multiple Setpoint) .........................................................................................1-11
1.9 Filter Menu.............................................................................................................................1-13
1.9.1 Filter...........................................................................................................................1-13
1.9.2 Clean and Filter..........................................................................................................1-14
1.9.2.1 OQS............................................................................................................................1-14
1.9.3 Dispose (SDU or Alternate Container/Fill from JIB)................................................1-15
1.9.4 Dispose (Bulk or Front / Fill from JIB) .....................................................................1-15
1.9.5 Dispose (Bulk /Fill from Bulk)..................................................................................1-16
1.9.6 Drain to Pan ...............................................................................................................1-17
1.9.7 Fill Vat from Pan........................................................................................................1-17
1.9.8 Fill Vat from Bulk (Bulk only)..................................................................................1-18
1.9.9 Pan to Waste (Bulk only)...........................................................................................1-18
1.9.10 Clean (Hot [Boil Out] or Cold [Cold Soak] (Dispose SDU or Alternate
Container/Manually Fill Vat from JIB) .................................................................................1-19
1.9.11 Clean (Hot [Boil Out] or Cold [Cold Soak] (Dispose to Bulk or Front / Manually Fill
Vat from JIB).........................................................................................................................1-20
1.9.12 Clean (Hot [Boil Out] or Cold [Cold Soak] (Dispose to Bulk /Fill Vat From Bulk)1-21
1.10 Polishing ................................................................................................................................1-22
1.11 SCAN Mode...........................................................................................................................1-23
CHAPTER 2: Operator Troubleshooting
2.1 Introduction..............................................................................................................................2-1
2.2 Troubleshooting.......................................................................................................................2-2
2.2.1 Error Message and Display Problems...........................................................................2-2
2.2.2 Filtration Problems........................................................................................................2-3
2.2.3 Using Tech Modes.........................................................................................................2-5
2.2.4 Error Log Codes ............................................................................................................2-5
2.2.5 OQS (Oil Quality Sensor) Troubleshooting..................................................................2-7
CHAPTER 3: FilterQuick Oil Quality Sensor (OQS)
3.1 OQS Filter Setup......................................................................................................................3-1
3.2 Info Mode: Viewing OQS Total Polar Material (TPM) Stats..................................................3-2
3.3 OQS Filter Menus....................................................................................................................3-2
3.3.1 Clean and Filter with OQS (Set to Number).................................................................3-2
3.3.2 Clean and Filter with OQS (Set to Text).......................................................................3-3
3.3.3 OQS Filter with OQS (Set to Number).........................................................................3-4
3.3.4 OQS Filter with OQS (Set to Text)...............................................................................3-5