Delta PowerMaxx DMS-280 Manual

T. 01992 523523
W. www.deltamembranes.com
PowerMaxx™ (DMS-280)
Installation & Operating Instructions Rev 1
For Ground Water Applications
Pump Station Battery Backup

PowerMaxx
PM-M-V1-02.16
Legal information/Copyright
All rights reserved. Contents provided herein must neither be distributed, copied, reproduced, edited or
processed for any other purpose, nor otherwise transmitted, published or made available to a third party
without Delta Membranes express written consent.
Subject to technical modication without prior notice.
© Delta Membranes 2016

PowerMaxx
For technical support, please call 01279 757400 3
Contents
1.0 PowerMaxx overview 4
2.0 Box contents 4
3.0 Technical information 4
4.0 Unit location 5
5.0 Safety 5
6.0 General 5
7.0 Wiring in the PowerMaxx and pump/s 6
8.0 Conguringtheuppercircuitboardtothepump/s 7
9.0 Setup of the PowerMaxx 8
10.0 Principles of operation 9
11.0 Backup time 10
12.0 Battery life 10
13.0 Overcurrent alarm 10
14.0 Battery servicing 11
15.0 Spares 11
16.0 LED codes 11

PowerMaxx
1.0 PowerMaxx overview
2.0 Box contents
• 1 x PowerMaxx Unit - Battery supplied internally, but disconnected on delivery
• 4 x Large Cable Glands & Nuts
• 2 x Large Blanking Plugs
• 1 x Small Cable Gland (for MaxxConnect™) & Nut
• 1 x Small Blanking Plug
• 1 x 3m length of MaxxConnect family cable
• 1 x Installation & Operating Instructions (this document)
• 1 x Chamber Location Sticker Sheet (for Spurs)
3.0 Technical information
PowerMaxxSpecication
Size (without cable glands) W: 155mm x D: 425mm x H: 300mm
Weight 19.5kg
Mains supply 200-250V AC (50Hz)
Internal battery 24V - 22Ah
Power (standby) <3W
Power (charging) 55W
Visual Display Red, Blue, Green LED
Operating temperature 5-35°C
Approximate Installation time 30 minutes
4 For technical support, please call 01279 757400
The PowerMaxx is designed to provide battery backup to pump stations in the event of a mains failure.
It has been specically designed to meet the requirements of the pump industry. The PowerMaxx monitors
any overcurrent situation which might occur due to a faulty pump/s, or blockage in the associated valves/
pipework. It also has the ability to connect to other components in the MaxxConnect™ family, such as an
AlertMaxx and MessageMaxx unit.
CAUTION!
The PowerMaxx should be installed by a qualied tradesperson.

PowerMaxx
4.0 Unit location
The PowerMaxx must be positioned where there is sucient air circulation to the top and base vents and
is permanently accessible for servicing. If using in conjunction with an AlertMaxx high level alarm, please
ensure the units are no further than a 20m cable length from each other.
MaxxConnect cable can be purchased per 10m (DMS-288). Donotjoincables.Runfulllengthsonly.
CAUTION!
The PowerMaxx unit is not waterproof and must be installed indoors or inside a kiosk.
For technical support, please call 01279 757400 5
5.0 Safety
The PowerMaxx has 240V present at all times and can generate dangerous voltage even if the mains supply
is removed. The power switch only disables the ability to generate 240V from the battery pack, however
mains feeds are still live and present supplying the pumps. To be completely safe, remove the fuses from
both spurs, ensure the PowerMaxx unit is switched o and disconnect the battery pack.
6.0 General
The PowerMaxx can supply one or two pumps. The pumps should not require more than 425W, which is
the rating of a standard V3 pump. The supplies to the pump should be separately fused using non-switched
fused spurs and not on the same ring mains.
Battery Type: Lead-acid
Battery Specification: 24V DC 22Ah
Caution: Replace with same type only
Risk of electric shock & chemical hazard.
Refer to the instruction manual for handling,
disposal & maintenance information.

6 For technical support, please call 01279 757400
PowerMaxx
7.0 Wiring in the PowerMaxx and pump/s
1. Remove the fuses from the spurs that will power the pumps being used with the PowerMaxx.
2. Ensure the power switch of the PowerMaxx is in the OFF position.
3. Remove the PowerMaxx lid and side panels from the unit.
4. If you are conguring the unit with one pump, t two large cable glands into the primary side of the unit
and two blanking plugs in to the secondary side of the unit.
If you are conguring the unit with two pumps, t two large cable glands into the primary side of the unit
and two large cable glands in to the secondary side of the unit.
If you are connecting one or more units via MaxxConnect, t a small cable gland into the small hole
above the secondary ports.
5. Using the cable glands on the back of the PowerMaxx, feed the power and pump cables through and to
the correct terminal blocks on the lower circuit board.
There are two connector blocks on the lower circuit board: PRIMARY and SECONDARY. The primary
connector block should always have a connection, as this is the supply that charges the PowerMaxx.
6. Connect the supply to the “From Mains” and the corresponding pump to the “To Pump” (see gure 1).
7. Connect the battery pack to the inverter by plugging in the grey Anderson connector.
Figure 1. Wiring the lower
circuit board
Primary Pump
Secondary Pump
From Mains To Pump
L N E E N L
L N E E N L
From Mains To Pump
To front of casing
PLEASE NOTE
PRIMARY = Standard Pump - normally marked with a ‘S’
SECONDARY = High Pump - normally marked with a ‘H’

PowerMaxx
For technical support, please call 01279 757400 7
8.0 Conguringtheuppercircuitboardtothepump/s
1. Using the diagram below, set the switches on the upper circuit board according to your systems
conguration (see gure 2).
Figure 2. Conguring the upper circuit board
The above conguration shows a PowerMaxx connected with 2 pumps and no AlertMaxx
Switch 2
Switch 1
2 Pumps (UP)
1 Pump (DOWN)
AlertMaxx Present (UP)
NO AlertMaxx Present (DOWN)
PLEASE NOTE
If you are connecting an AlertMaxx, set switch 1 in the DOWN position (NO AlertMaxx Present)
until conguring the units.

9.0 Setup of the PowerMaxx
8 For technical support, please call 01279 757400
PowerMaxx
Red
LED
Blue
LED
Green
LED
PowerMaxxduringinitialconguration
4/sec On No battery connected
3/sec On No primary mains present
2/sec On Secondary mains present and switch 2 in 1 pump position
1/sec On No secondary mains present. Note: this can only occur if you have
set the conguration switch to 2 pumps (switch 2: Up) and have no
secondary mains present
On On Error in connection of cabling (reversed of mains and pumps)
1/sec The unit is correctly connected
2/sec The unit is correctly connected and charging
1. Ensure that the mains power is o.
2. Replace the fuses to the spurs supplying the PowerMaxx and turn on the mains power.
3. Check that the pump/s are receiving power (with the PowerMaxx switched o) by lifting the oat
switches on the pump/s.
4. Switch the PowerMaxx on, all three LEDs should ash three times.
5. The blue LED will be permanently lit while the PowerMaxx checks the environment and the connections.
6. After 10-20 seconds one of the following LED combinations will be displayed.
7. If the PowerMaxx fails to congure correctly - switch the unit o, remove the fuses from the spurs and
redo the connections or set the conguration switches to the correct positions (section 8.0) and turn the
unit back on. If the issue still persists please call technical support on 01279 757400.
8. If you are connecting an AlertMaxx, please refer to the MaxxConnect installation & operating
instructionsbeforeproceedingfurther.
9. Replace the covers of the PowerMaxx.
10. The PowerMaxx will always begin charging after it has been connected and congured. It may take
up to 15 hours (depending on the state of the battery) to fully charge.

PowerMaxx
For technical support, please call 01279 757400 9
10.0 Principles of operation
Normal operation
The power bypasses the PowerMaxx and goes direct to the pumps (see gure 4). Pump supply #1 (primary)
also charges the battery.
Figure 4. Basic schematics
Battery Pack
Inverter
DC - 240VAC
240V
For Pump #2
240V
For Pump #1
Pump #2Pump #1
Charging
Backup operation
When the PowerMaxx senses that one or more of the power connections have failed it enters backup mode.
To save power it periodically (once a 1 minute) tests if the pump/s needs power (oat up). If not, the
PowerMaxx rests for a further minute. However, if the pump/s needs power it will serve the pump/s as long
as they need or until the battery is depleted.
If two pumps are connected and both supplies have failed it will serve both pumps in a rotational manner
giving equal priority until the power returns or the battery is depleted.
If the secondary power has failed, it will serve the secondary pump as required from the battery. However it
will also charge the battery from the primary spur, when the secondary pump does not need power.
Charging after power failure
After a power failure, the battery is charged. This process can take up to 15 hours to reach a 95% capacity
for a completely depleted battery set.

10 For technical support, please call 01279 757400
13.0 Overcurrent alarm
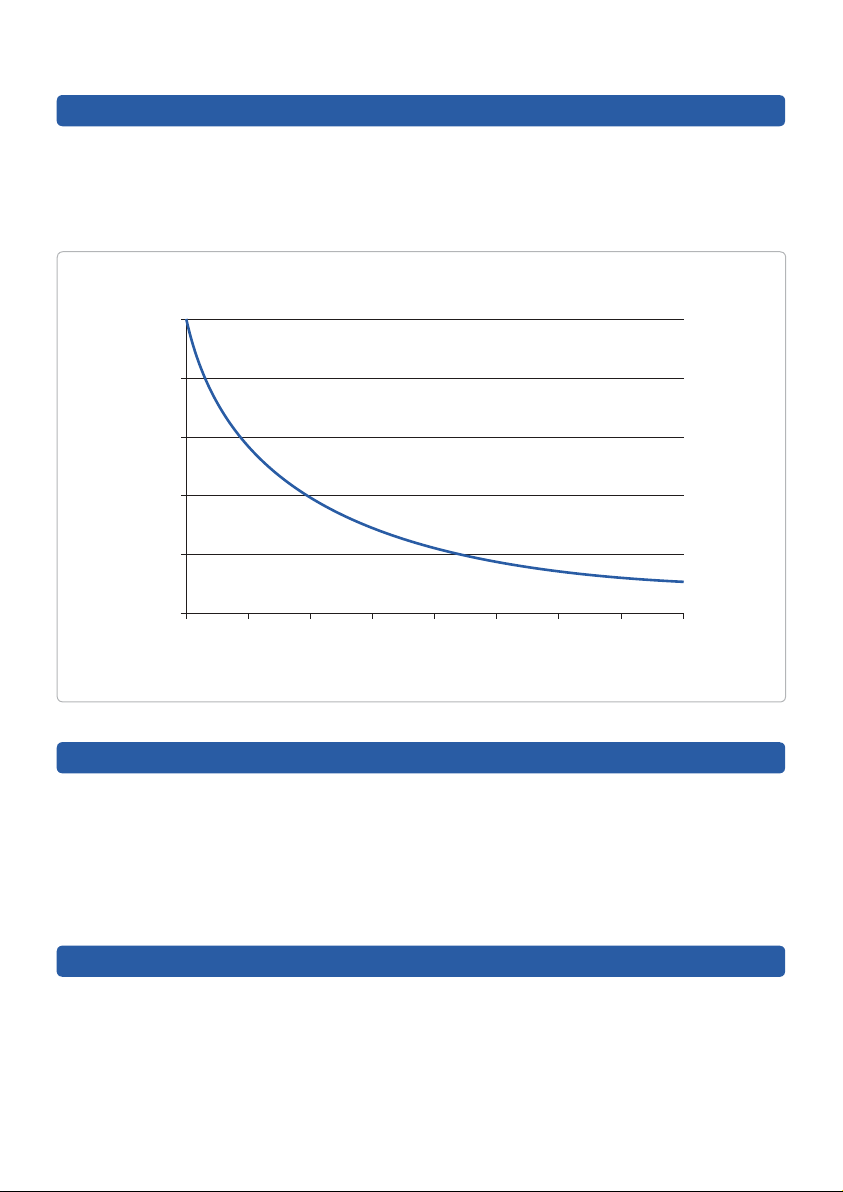
11.0 Backup time
PowerMaxx
10
6
4
2
0
0 0.5 1 1.5 2 2.5 3 3.5 4
Cycles/hr
Backup Time (days)
8
The possible backup time depends on how often and how long the pump cycles are. The graph below
assumes a 20 second pump cycle. As seen from the graph below, 1 x 20 sec cycle per hour gives a 4 day
back up time (approx.). If no pumping is required the PowerMaxx will monitor the situation for at least 10
days.
12.0 Battery life
The battery has a nominal lifespan of 3 years. This lifespan is shortened by the following:
• Temperatures above 25°C.
• Number of discharges (the number of times the PowerMaxx has been used without mains power).
• The depletion level when discharging and the number of times the battery is used. Extended periods
providing backup power will impact battery life.
The PowerMaxx monitors the current the pump/s draw. If the pump/s consume more than 1.0A above their
normal operating current the “overcurrent” LED combination will be lit. The normal operating current is
established as an average number of cycles, 8-17 cycles after the unit has been installed.
Figure 5. Backup time and pump cycles
Tabla de contenidos
Otros manuales de Paquete de baterías de Delta
Manuales populares de Paquete de baterías de otras marcas

IOGear
IOGear GBP24V Series Manual de usuario

Inventus Power
Inventus Power PROTRXion S-12V100-TRX-HD Manual de usuario

Clas Ohlson
Clas Ohlson PW-290A Manual de usuario

EINHELL
EINHELL MULTI-Ah Power X-Change Plus Manual de usuario

Samsung
Samsung EB-U3300 Manual de usuario

ECTIVE
ECTIVE LC Series Manual de usuario


















