TheAlcatel-Lucent9500MPRhelps
ensureoptimalperformanceforall
typesofbackhaulingtechnologiesand
enablessmoothevolutionofexisting
TDM-basednetworkstoanall-IP
network.Itaggregatesanykindof
incomingtrafc,includingSecond
Generation(2G),ThirdGeneration
(3G)andWiMAX.Performance
andlowlatencyareimprovedfor
eachservice,andsynchronization
canbeachievedalongtheentire
backhaulingnetwork.
Service-aware transport
TheAlcatel-Lucent9500MPRsupports
adaptivepackettransportforexcep-
tionaluseoftheradiofrequency(RF)
spectrumandadramaticimprovement
inbroadbandtrafctransmission.
Thisservice-awarefeaturedirectly
mapsalltrafc,bothguaranteedand
broadband,overtheradioframe.It
recognizesthetrafctypesineach
incomingpacketandautomatically
adaptstovaryingmicrowavelink
conditions.Forinstance,priority
trafc,suchasvideoandvoice,are
assignedtothemostavailablepackets
acrosstheradiolink,whilelesstime-
dependentapplications,suchas
Internetbrowsingande-mail,are
givenaccessbasedonavailability;
thisisshowninFigure3.
Simplified growth
BecausetheAlcatel-Lucent9500MPR
offersservice-awaretransport,operators
canincreasethenumberofactive
userswithouttheinefcienciesof
transportconstraints.Thissystem
enablesadramaticincreaseinbroad-
bandusersonthenetwork;uptoone
hundredtimesthatofT1-basedTDM
solutions.Operatorsalsogainenhanced
supportforhigh-bandwidthapplica-
tions,suchasmusicdownloading
andstreamingvideo.
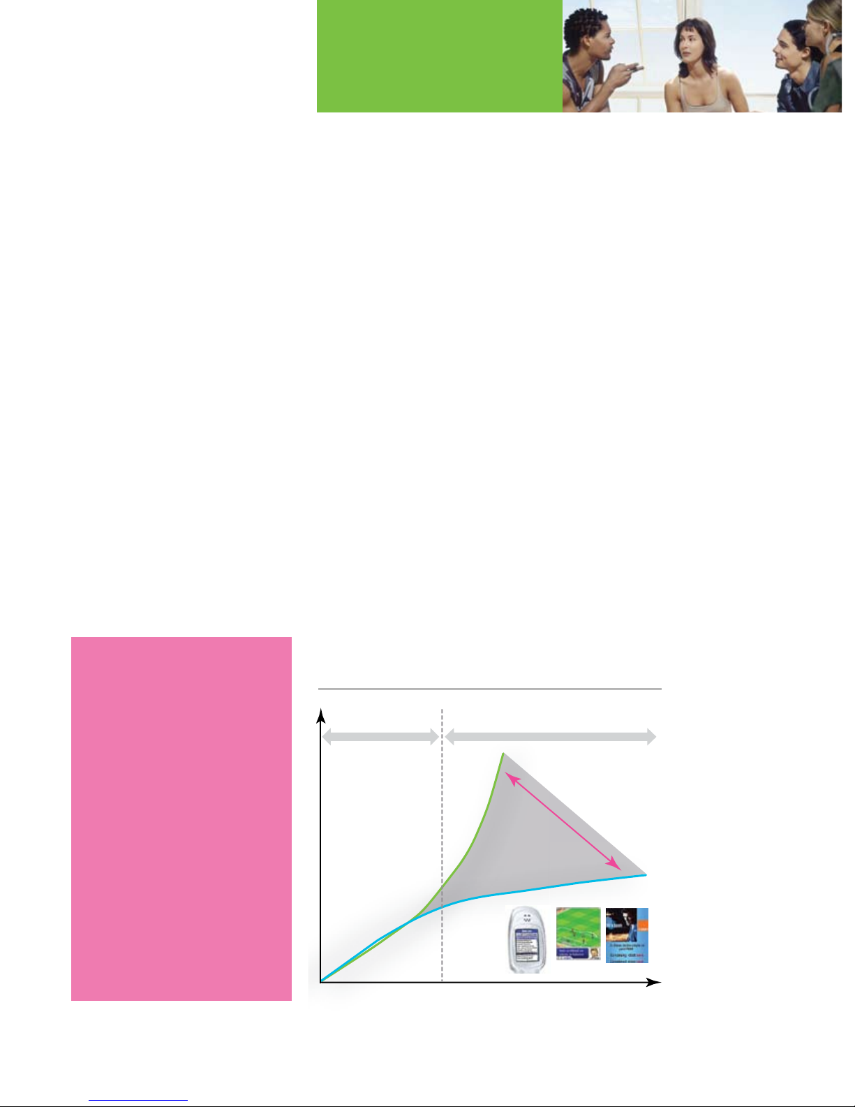
AsshowninFigure4,packetsolutions
supportmoreactivevoiceandmulti-
mediausersthanTDMsolutions.
An innovative, truly packet product